Whatsapp Facebook LinkedIn RSS feed

Google Street View: makkelijk, maar ook handig als boombeheertool?

ARTIKEL
Facebook Linkedin Whatsapp
Adam Berland en Daniel A. Lange, dinsdag 7 mei 2019
367 sec


Wetenschappelijk onderzoek toont aan: determineren van kleine en zeldzame bomen en van bomen met veel soorten in het geslacht is lastig.

Google Street View is gebruiksvriendelijk én gratis; elke huizenkoper kan er makkelijk een eerste buurtverkenning mee doen. Is deze geotechnologie ook geschikt voor stedelijk boombeheer? De onderzoekers Adam Berland en Daniel A. Lange van de Ball State University in Muncie (VS) onderzochten dit en publiceerden de resultaten op 13 november 2016 in het wetenschappelijk tijdschrift Urban Forestry & Urban Greening.


Geavanceerde geo-informatietechnologie kan stedelijke boombeheer naar een hoger niveau tillen. Voor beheerders is dit echter te duur en onbruikbaar omdat er technische expertise voor nodig is. De onderzoekers Adam Berland en Daniel A. Lange willen weten of Street View hierin verandering kan brengen en of Street View-beelden nauwkeurig genoeg zijn om betrouwbare gegevens te genereren.

Traditioneel veldonderzoek

Bij aanleg en renovatie maken boombeheerders gebruik van straatboomonderzoek rond aanplant, snoeien, verwijderen van bomen, ziekten en plagen, risicomanagement in de vorm van VTA en infrastructuurmanagement. De laatste jaren worden de uitkomsten van zulk onderzoek ook gebruikt om de milieubaten en esthetische waarde van straatbomen in te schatten, aan de hand van modellen zoals i-Tree Streets (i-Tree, 2016). Dit straatboomonderzoek wordt nog vrijwel altijd in het veld uitgevoerd. Medewerkers van de bomenploeg, de groendienst, de groenvoorziener of het adviesbureau gaan naar buiten en noteren per boom hun bevindingen.


Remote sensing-technologie

Veldonderzoek is echter duur, arbeidsintensief en niet altijd zonder gevaar voor de veldwerkers (Alonzo et al., 2016). Geo-informatietechnologie voor beheer op afstand (remote sensing) kan een oplossing zijn voor deze problemen. We weten dat lucht- en satellietbeelden tegenwoordig behoorlijk sterk kunnen inzoomen. Maar zijn de opnames zo scherp dat je er bomen mee kunt determineren en condities mee kunt vaststellen? Volgens verschillende onderzoekers sluit remote sensing-technologie al behoorlijk aan op de praktijkbehoeften. De aantallen stadsbomen kunnen al redelijk goed worden gekwantificeerd, maar ook de kwaliteit en de conditie van bomen kunnen worden geanalyseerd. Zo is er in 2009 met remote sensing in een vroeg stadium boomongedierte waargenomen.


Street View

Google Street View is een geo-informatieplatform met vanaf de grond gemaakte panoramische foto's langs straten. Street View is online direct beschikbaar of via Google Earth. Het heeft een prima bereik, met straten in veel landen van de wereld.


Het perspectief vanaf straatniveau is een goed hulpmiddel voor virtuele verkenning van buurten. Onderzoekers zoals Rousselet, Badlandet en Clarke hebben vastgesteld dat er belangrijke professionele toepassingen van Street View zijn: het karakteriseren van stedelijk groen door groene pixels in Street View-afbeeldingen te tellen, het virtueel bestuderen van de verspreiding van bosongedierte door nesten te identificeren en virtueel volksgezondheidsonderzoek van de bebouwde omgeving.

Onderzoeksgebied

De studie werd uitgevoerd in drie gemeenten in Cincinnati: Mt. Healthy, Reading en Wyoming. Deze gemeenten hebben alle drie een lage tot gemiddelde bewonersdichtheid. Meer dan 70 procent van de huizen in de drie gemeenten is gebouwd vóór 1970. Wyoming heeft een actief aanplantprogramma voor straatbomen; de andere twee hebben bestaande straatbomen, maar geen actueel aanplantprogramma.


In ons onderzoek werd Goolge Street View gebruikt om de straatsegmenten uit het veldonderzoek ook virtueel te onderzoeken. De analyse werd uitgevoerd door één persoon met een bachelor in biologie, gespecialiseerd in veldplantkunde. Deze onderzoeker had het studiegebied nooit bezocht en had dus geen voorkennis van standplaatsen van boomsoorten. Street View werd toegepast vanuit Google Earth Pro, dat gratis beschikbaar is en de import van GIS-bestanden ondersteunt. Hiermee kon hij wijkplattegrondjes in Street View zien en ervoor zorgen dat hij dezelfde straatdelen inventariseerde als de veldploeg twee jaar eerder had gedaan.

De onderzoeker registreerde de geografische locatie van elke houtopstand met een DBH groter dan 2,5 cm. Hij determineerde bomen op soort en schatte de DBH handmatig in op basis van het uiterlijk van de boom op de foto in de landschapscontext. Er werd een geografisch informatiesysteem (GIS) gebruikt om de locatie van de geïnventariseerde bomen in het veld uit te zetten. De onderzoeker noteerde ook de datum van de Street View-afbeelding. Hij verzamelde geen gegevens over de gezondheid van bomen, ziekten of plagen of problemen met infrastructuur. De schattingen uit zijn virtuele onderzoek werden in meerdere fasen van het onderzoek gekalibreerd.

De onderzoeker maakte eerst een inschatting van de diameter en de soort op basis van Street View-beelden; daarna ging hij het veld in om zijn schattingen na te meten. Hij onderzocht één gemeente tegelijk en ging pas verder met straatbomen in de volgende gemeente nadat hij zijn schattingen in het veld had nagemeten. Met de schattingen van de straatbomen in de eerste gemeente, Mt. Healthy, kon hij een referentiegids maken voor het schatten van de DBH. Hierdoor werden de uitkomsten van het virtuele onderzoek in het gehele studiegebied verbeterd.

Uitkomsten: werkt Street View snel en is het nauwkeurig?

Er werd zowel veld- als virtueel onderzoek uitgevoerd naar 115 straatsegmenten in de drie onderzoeksgemeenten (tabel 1). Het virtuele onderzoek in Reading en Wyoming duurde 11,2 uur; in Mt. Healthy werd de tijd niet geregistreerd. Dit was aanzienlijk sneller dan de 28,5 uur die een tweetalig veldteam nodig had om dezelfde boomvariabelen te verzamelen in Reading en Wyoming.
Hoewel dezelfde straatsegmenten werden geïnventariseerd in de twee onderzoeken, waren er drie verschillen in de gegevensverzameling per straatsegment. Ten eerste vond het veldonderzoek plaats van september tot oktober 2013, terwijl het Street View-beeldmateriaal werd verworven van juli tot september (in het bladseizoen) in de volgende jaren: 2009 (2% van de beelden), 2011 (38%), 2014 (56%), 2015 (3%) en 2016 (<1%). Ten tweede troffen de onderzoekers 597 bomen aan in het veldonderzoek en 606 bomen in het virtuele onderzoek met Street View (tabel 1).


Tekst loopt verder onder de afbeelding

Overeenkomsten in onderzoek naar geslacht en soort op veld- en virtueel niveau. Diameter op borsthoogte (DBH) wordt onderverdeeld in zeven categorieën: 1. 0-7,6 cm2. 7,6-15,2 cm3. 15,2-30,5 cm4. 30,5-45,7 cm5. 45,7-61,0 cm6. 61,0-76,2 cm7. > 76,2 cm

Identificatie van geslacht en soort

Meer dan 93 procent van de 597 bomen uit het veldonderzoek kon worden waargenomen in het Street View-onderzoek. Wat betreft het geslacht kon 90 procent van de bomen virtueel worden gedetermineerd; wat betreft de soort was dat aanzienlijk minder: 66 procent. Het aantal corresponderende determinaties van de soort was vooral hoog bij veel voorkomende soorten, vooral wanneer die soort de enige van zijn geslacht was die in het onderzoeksgebied vertegenwoordigd was. Dat gold voor Pyruscalleryana, Gleditsia triacanthos en Zelkova serrata.


Determinatie lastig

De corresponderende determinatie bleek pas echt lastig bij kleine bomen, zeldzame bomen en bij bomen met veel soorten in het geslacht. Bij zes Ulmus-soorten was er 0% overeenstemming op soortniveau tussen de twee onderzoeken. De overeenkomst voor acht Quercus-soorten bedroeg slechts 37%.


De onderzoekers adviseren een fotografische gids te ontwikkelen van boomdiameters in Street View-beeldtaal

Diameter op borsthoogte

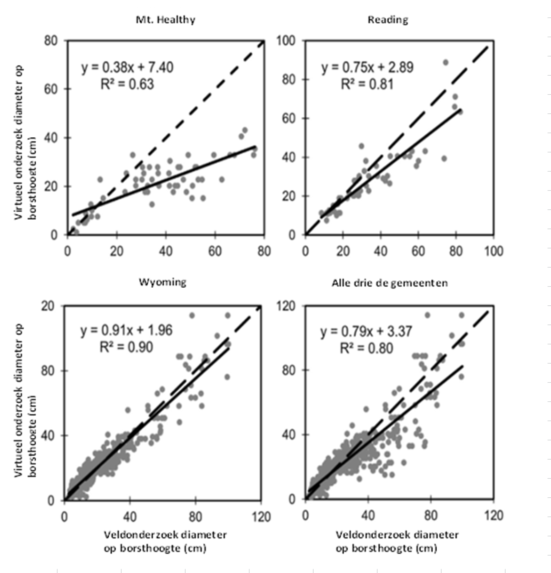
Aanvankelijk waren de schattingen van de diameter door de onderzoeker op basis van de Street View-beelden niet al te best, maar ze verbeterden zienderogen naarmate hij tijdens het onderzoek meer ervaring kreeg en deze inzichten toepasten bij volgende inschattingen. In de derde gemeente werden de metingen van het veldonderzoek dicht benaderd (zie grafiek 2).


Tekst loopt verder onder de afbeelding

Aanbevelingen: fotografische gids, kenmerkenlijst en beeldmeetsoftware

Opgemerkt wordt dat de determinatie niet in alle gevallen even gemakkelijk verliep. De onderzoeker die de analyse deed, had het studiegebied voorheen nog nooit bezocht. Een boombeheerder met kennis van de soorten die in de desbetreffende gemeente zijn geplant, kan zeker een voordeel hebben bij het determineren van bomen met Street View. Deze zou zijn kennis kunnen overdragen aan Street View-analisten in de vorm van foto's en lijsten met kenmerken van lokale straatbomen.
De schattingen van de diameter door de onderzoeker gingen dus met sprongen vooruit door het opdoen van ervaring. Hij toetste namelijk al zijn schattingen in de praktijk, voordat hij verderging met het onderzoeken van straatbomen in de volgende gemeente. Wij adviseren om een fotografische gids te ontwikkelen waarin bomen met verschillende diameters in Street View-beeldtaal worden getoond, zodat onderzoekers deze referentiebomen in Street View-onderzoek kunnen gebruiken. Bovendien hebben we alle diameters handmatig geschat omdat we een gratis analyse wilden uitvoeren, maar vooral bij grotere bomen was dit lastig. Men zou gebruik kunnen maken van beeldmeetsoftware om schattingen van de diameter te automatiseren.'


Samenvatting

De onderzoekers voerden tussen oktober 2015 en maart 2016 met Street View een virtueel onderzoek uit naar in totaal 597 straatbomen, verdeeld over drie Amerikaanse gemeenten: Mt. Healthy, Reading en Wyoming. Daarbij registreerden zij de aantallen en de locatie, determineerden ze de soorten en maakten ze een schatting van de diameter op borsthoogte (DBH).
Na afloop vergeleken ze de uitkomsten met veldgegevens van die locaties die twee jaar eerder waren gemeten. Meer dan 93 procent van de 597 bomen uit het veldonderzoek kon ook worden waargenomen in het virtuele onderzoek.


Wat het geslacht betreft, konden de onderzoekers 90 procent van de bomen virtueel determineren; voor de soort was dat 66 procent. Determinatie bleek lastiger bij kleine bomen, zeldzame bomen en bij bomen met veel soorten in het geslacht. Aanvankelijk onderschatte degene die de virtuele beelden analyseerde de boomdiameter, maar zijn schattingen verbeterden naarmate hij tijdens het onderzoek meer ervaring kreeg.

Conclusie

De onderzoekers concluderen dat Street View geschikt kan zijn voor virtueel boombeheeronderzoek naar bepaalde boomtypen. Ze plaatsen de kanttekening dat het beoogde gebruik van straatboomgegevens in de praktijk zal uitwijzen wat als een acceptabele gegevenskwaliteit wordt beschouwd.


Tekst loopt verder onder de afbeelding

Henry Kuppen
Henry Kuppen
Kuppen: 'Bomen beoordelen vanachter je computer? Laten we de essentie niet uit het oog verliezen'

Henry Kuppen, directeur van advies- en onderzoeksbureau Terra Nostra: 'Digitalisering en geo-informatiesystemen vormen een gigantische bron van innovatie en nieuwe ontwikkelingen. Onderzoek draagt bij aan de ontwikkeling van systemen die ons mogelijk arbeid uit handen kunnen nemen. Maar de geschetste Amerikaanse situatie lijkt van de Nederlandse af te wijken, omdat wij in Nederland vaak over exacte boomgegevens beschikken vanwege de alom ingeburgerde boomveiligheidscontroles. Dit Amerikaanse onderzoek produceert vrij basale gegevens, die te grof zijn en de VTA-gegevens onvoldoende benaderen. Mogelijk zijn er in Nederland raakvlakken met disciplines zoals ontwerp en beleid, maar ook die afdelingen kunnen zonder problemen over opgenomen boomdata beschikken. Daarbij wil ik de menselijke maat niet uit het oog verliezen; bomen zijn uniek en laten zich om deze reden lastig in modellen vatten. Gaan we de gewenste richting op als we systemen ontwikkelen die ervoor zorgen dat we niet meer naar buiten hoeven? Juist buiten zijn de bomen te vinden die ons welbevinden versterken. Het zou gek zijn om die dan te beoordelen vanaf je werkplek in een kantoor achter een computer. Laten we de mogelijkheden benutten, maar de essentie niet uit het oog verliezen.'

Samenvatting

De onderzoekers concluderen dat Street View-beelden in principe veelbelovende tools zijn voor straatbomenonderzoek. Een virtuele bomendeterminatie kon sneller worden uitgevoerd door één persoon, tegen lagere kosten en met verminderde veiligheidsrisico's, in vergelijking met een eerder uitgevoerd veldonderzoek. Een kanttekening is dat het onderzoek plaatsvond in gemeenten met een lage dichtheid. Het is dus niet duidelijk hoe goed met Street View gewerkt kan worden in dichtere stedelijke centra, waar straatbomen door verkeer of infrastructuur in Street View-beelden kunnen worden verdoezeld.


Berland en Lange concluderen dat Street View bruikbaar is, vooral bij grotere bomen, om het geslacht van de meeste bomen betrouwbaar te kunnen determineren.
In tegenstelling tot het geslacht is de diameter lastig in te schatten bij grotere bomen. Ook kleine bomen met zeer weinig bladeren zijn moeilijk te zien met Street View, vooral als de beeldkwaliteit op die locatie slecht is. Tot slot bleek determinatie op soort lastig in het onderzoek, in het bijzonder voor geslachten zoals Acer, Quercus en Ulmus, waarvan meerdere soorten vertegenwoordigd waren in onderzoek.


LOGIN   met je e-mailadres om te reageren.

REACTIES
Er zijn nog geen reacties.

download artikel
bestel tijdschrift
tip de redactie

Meld je aan voor onze digitale nieuwsbrief.
AGENDA
VTA-seminar bij Kasteel Vaeshartelt op 26 maart
donderdag 26 maart 2026
t/m vrijdag 27 maart 2026
Open dagen bij De Schans BV begin mei
vrijdag 1 mei 2026
t/m zondag 3 mei 2026

ONDERDELEN
Archief
Dossiers
Green Industry Profile
Webshop
OVER ONS
Over ons
Duurzaamheid & NWST
Contact
Het team
ADVERTEREN EN ABONNEREN
Fysiek abonnement
Digitaal abonnement
Abonneren nieuwsbrief
Adverteren
Verschijningsdata
MEER
Redactionele spelregels
Algemene voorwaarden
Disclaimer
Privacy
Cookies
ONDERDELEN
OVER ONS
ADVERTEREN EN ABONNEREN
MEER